Hace ya casi un año estaba preparando material para el libro El Viaje Iniciático de Hipatia, me encontré con un hecho sorprendente: la relación aritmética entre el Número de Oro y el anagrama de Cristo, el llamado Crismón: símbolo, con que se le representó desde los primeros siglos del Cristianismo hasta hoy día.
Quedé sobrecogido por las implicaciones históricas y teológicas del hallazgo del Crismón, e inmediatamente fui a ver si en Internet alguien había establecido dicha relación... Busqué el vínculo en portugués, en español y en inglés y comprobé, estupefacto, que nadie nunca había hecho referencia a este vínculo tan, tan importante, que pienso sinceramente puede hacer reescribir los libros de Historia. Muy pretencioso debe parecer esto al lector, así al menos me parecería a mí, pero le ruego que tenga paciencia y que juntos desvelemos este enigma.
Un repaso a la matemática antigua
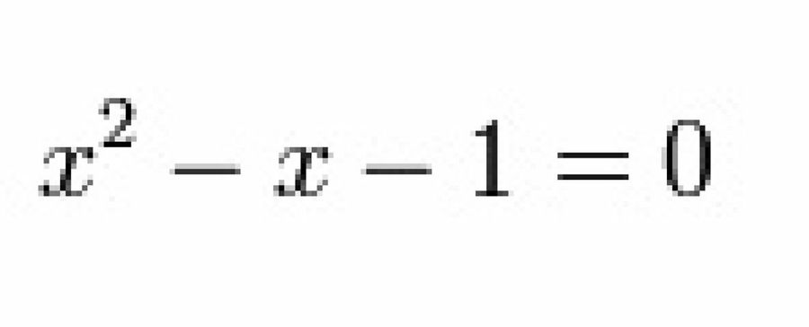
Dentro de las explicaciones del Crismón, vale primero decir que el Número de Oro, Divina Proporción o Sección de Oro es uno de los secretos del arte y la matemática antigua, y al que tanto Euclides como Platón hacen referencia. Pero ellos nunca especifican cómo hallar este Número que rige la Naturaleza, y desde que sabemos, el Arte Antiguo (Egipto, Grecia, Roma, China, India, etc, etc.), además de ser la clave que permite la construcción del Pentágono estrella, uno de los grandes secretos de las cofradías pitagóricas.Este Número indica la proporción que existe entre dos magnitudes para que la menor sea a la mayor como ésta a la suma de las dos. Fácilmente se comprueba -ahora, pero no tanto en la Grecia antigua en que fuera de los templos no se disponía de las 'herramientas' matemáticas adecuadas- que este número es la solución a la ecuación algebraica:
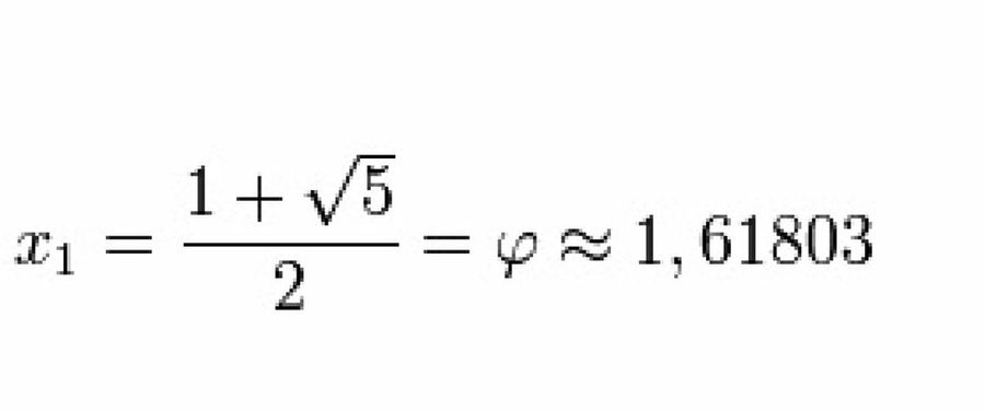
y cumple la asombrosa propiedad de que x= 1 + 1/x , con el valor de:
1.618033988749...., un número que ya Euclides, sin especificar cual, demostró que era irracional, o sea, con infinitos números decimales y que no puede ser expresado como una fracción de dos números enteros. Como fracción continua es expresado del siguiente modo:
La famosa serie de Fibonacci 1,1,2,3,5,8,13,21,34.... en que cada número es la suma de los dos anteriores, converge en el infinito en el Número de Oro y rige la Naturaleza entera, hermanando, en cierto modo, las progresiones aritméticas y geométricas.
Los números sagrados
El lector puede leer en Internet las maravillas de esta Proporción, que es, junto con PI, el Número más sagrado de la antigüedad. Este último PI, (Π) es la relación entre la circunferencia y su diámetro y simboliza el proceso de nacimiento, de gestación, el poder creador que da origen al Cosmos. Mientras que el Número de Oro, llamado por la Matemática moderna PHI, o sea, F, es el Poder que lo estructura, vinculando armónicamente las partes con el todo.Todo cuanto existe está dividido en partes armónicas y es parte, al mismo tiempo, de un todo armónico. Este Número vincula, así, lo infinitamente grande con lo infinitamente pequeño en una serie armónica también infinita, pero regida por esta Divina Proporción: Razón que en nuestras clases en Nueva Acrópolis explicamos que es la que ideal y geométricamente gobierna la Naturaleza entera.
F es por tanto, el LOGOS, la Palabra, o Inteligencia, el Arquitecto Divino que da forma a cuanto existe, ensamblando siempre lo múltiple a la unidad.
El Logos y Dios
La verdad es que ya sabíamos la importancia que tenía este Número en la civilización greco-romana, pero no que llegó a ser considerado en ésta el Verbo, el Logos Platónico, la Deidad que es Pura Voluntad, Amor-Sabiduría e Inteligencia, y que se convierte en la Ley, Energía y Vida y las Formas que rigen la Naturaleza en su plenitud. Lo sorprendente es F es el Verbo, es el Verbo (Logos) del Evangelio gnóstico de San Juan, que comienza, precisamente con estas palabras: "Al principio era el Verbo(Logos), y el Verbo(Logos) estaba junto a Dios y era Dios".Pues cuando los filósofos cristianos cultos rendían culto a Cristo lo hacían a este Logos encarnado en carne y sangre (o sea, en la naturaleza y en el corazón humanos, de la humanidad entera y desde que esta nace como tal, hace dieciocho millones de años según las doctrinas herméticas). Y aunque esto ya lo sabíamos por algunos Padres de la Iglesia como San Jerónimo, la prueba definitiva y asombrosa es esta:
El Crismón se puede descomponer lógica y naturalmente en las siguientes letras del alfabeto griego:
ALFA A XI C RO R OMEGA ω
Como en la matemática griega antigua no existían aún nuestros números o guarismos, para ellos los números eran estas mismas letras con la siguiente correlación:
Y recordamos que el alfabeto griego es el siguiente, con letras mayúsculas y minúsculas:
Dando el valor numérico, por tanto, a las letras, tenemos:
A = 1
X = 600
P = 100
W = 800
Números que leídos como están en el Crismón y sin considerar los ceros, que no se leen, son
AXRO = 1618
Que son cuatro primeros números de la DIVINA PROPORCIÓN.
Y es que el símbolo del Crismón es más antiguo que el uso que de él comenzaron a hacer los cristianos para convertirlo en anagrama de Cristo (KR, de Cristo, que es el Alfa y el Omega; la S y la T que aparece en algunos crismones medievales fueron incorporadas varios siglos después), era un símbolo de la Religión Romana de los Césares, un símbolo extremamente sagrado, usado, por ejemplo, en algunas monedas romanas, tal y como nos dice en su 'Simbología Románica: El cristianismo y otras religiones en el Arte Románico' el sacerdote y doctor en Filología Clásica y Teología Patrística Manuel Guerra, que dedica al Crismón un capítulo entero en esta obra.
Claro! F, y ya sabemos ahora que también el Crismón, era el símbolo del Dios Creador, del Logos que da forma y vivifica la materia: el Espíritu Universal, hijo del Misterio Innominado, Espíritu Universal cuya presencia es fácil percibir en el orden y armonía de la naturaleza, desde lo inmenso hasta lo mínimo, desde su geometría fractal hasta sus programas evolutivos . Cuando Cristo, de hombre se convirtió en el Logos encarnado, fue necesario representarlo con este símbolo geométrico y numérico del Logos, el Crismón, el Número de Oro, el 1618.
El Anima Mundi que está junto a Dios, y que es Dios, Alfa y Omega, Principio y Fin de este Universo y por tanto, de todo cuanto en Él nace, vive y muere.






